Vetores Produto escalar ou interno YouTube

Isto significa que o produto escalar entre dois vetores ortogonais é nulo. Este resultado continua valendo mesmo para vetores não-unitários, seguindo o mesmo raciocínio anterior. Portanto ele é um teorema: Teorema 2 Sejam $\vec{A}$ e $\vec{B}$ dois vetores perpendiculares. Então, $\displaystyle\vec{A}\cdot\vec{B}=0\quad\iff \quad \vec{A.
Produto escalar e ângulo entre vetores GeoGebra

PRODUTO INTERNO GEOMETRIA ANALÍTICA NO ESPAÇOProduto escalar. Em álgebra linear, o produto escalar é uma função binária definida entre dois vetores que for.
Produto Escalar Aula 2 Condição de ortogonalidade entre dois vetores YouTube

Encontrar o produto escalar de dois vetores passo a passo. vector-dot-product-calculator. pt. Postagens de blog relacionadas ao Symbolab. Advanced Math Solutions - Vector Calculator, Advanced Vectors. In the last blog, we covered some of the simpler vector topics. This week, we will go into some of the heavier.
9.1 exercícios sobre Produto escalar entre dois vetores com duas ou mais coordenadas YouTube

Nesta página você verá o que é e como calcular o produto escalar de dois vetores. Você também aprenderá como encontrar o ângulo entre dois vetores usando o produto escalar e, além disso, todas as propriedades do produto escalar. Por fim, você poderá praticar com exemplos e exercícios resolvidos passo a passo. Como calcular o. Calcule o produto escalar de dois vetores Leia mais »
PPT Produtos entre Vetores PowerPoint Presentation, free download ID3624968

Ângulo entre dois vetores. O produto escalar entre os vetores u e v pode ser escrito na forma: u.v = |u| |v| cos (x) onde x é o ângulo formado entre u e v. Através desta última definição de produto escalar, podemos obter o ângulo x entre dois vetores genéricos u e v, como: desde que nenhum deles seja nulo.
Como Calcular o Produto Escalar de Dois Vetores Rápido e Fácil YouTube

Exercícios Resolvidos de Produto Escalar. 1) Determine o produto escalar entre os pares de vetores abaixo: Calculando o ângulo. Lembrando que o modulo de um vetor , representado por é um número real não negativo. Ou em coordenadas, ou. Logo, voltando a resolução da equação.
Triple producto escalar de tres vectores Ejemplo 2 YouTube

Se o produto escalar entre dois vetores for igual a zero, significa que ambos os vetores são perpendiculares.. Além disso, serão abordados exercícios que envolvem o cálculo de ângulos entre vetores e como o produto escalar pode ser utilizado para determinar esses ângulos em diferentes contextos. Através de etapas claras e detalhadas.
Fórmulas e propriedades de produto escalar de vetores Neurochispas

Atenção: Do produto escalar entre dois vetores resulta um número real e não um vetor. A norma de um vetor , →u ∈ R2 é dada por ‖→u‖ = √u12 + u22, u1 e u2 coordenadas de →u. Já a norma de um vetor →u = (u1, u2, u3) ∈ R3 é dada por ‖→u‖ = √u12 + u22 + u32. Propriedades. Vamos agora ver algumas das propriedades do.
9 Produto escalar entre dois vetores com duas ou mais coordenadas YouTube

RKA - Neste vídeo vamos estudar algumas propriedades do produto escalar de vetores. E algumas coisas você vai notar muito familiares porque você já usa com os números. Entretanto, nós estamos aqui tratando de vetores, não podemos assumir que nada é verdadeiro sem antes provar. E é o que nós vamos fazer. A primeira coisa que nós vamos.
Vetores Produto Escalar YouTube

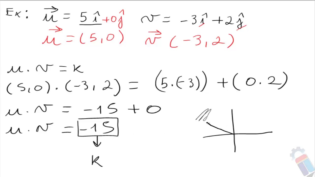
O produto escalar é a multiplicação entre dois VETORES e tem como resultado um ESCALAR! Ele também é conhecido como produto interno usual! Imagina esses dois vetores aqui: e . O produto escalar entre esses dois vetores pode ser representado das seguintes formas: A forma com o "pontinho" é a mais comum.
Curso de Cálculo I Diferencial e Integral Como calcular o ângulo entre dois vetores Produto

Aplicação do produto escalar. Conhecidas as coordenadas de dois vetores no plano ou no espaço, facilmente se determina o ângulo formado por esses dois vetores. A determinação desse ângulo vai permitir calcular a amplitude do ângulo formado por duas retas, quer no plano, quer no espaço. Geometria dinâmica e interativa para explicar.
Produto escalar
Existem dois métodos principais que podemos usar para calcular o produto escalar de dois vetores. Podemos usar suas magnitudes e o ângulo entre os vetores ou podemos usar seus componentes. A seguir, veremos alguns exercícios resolvidos do produto escalar de dois vetores onde aplicaremos os métodos mencionados.
Geometria Produto Escalar Vetores YouTube

Propriedades do produto vetorial. Escrevemos o produto vetorial entre dois vetores como a → × b → (a pronúncia é "a vetorial b"). Diferentemente do produto escalar, que retorna um número, o resultado de um produto vetorial é outro vetor. Digamos que a → × b → = c → . Esse novo vetor c → tem duas propriedades especiais.
Produto Escalar e Cálculo do ângulo entre dois vetores YouTube

Essas são as magnitudes de a → e b → , portanto o produto escalar leva em conta o comprimento dos vetores. O fator final é cos. . ( θ) , sendo θ o ângulo entre a → e b → . Isso nos indica que o produto escalar está associado à direção. Especificamente, quando θ = 0 , os dois vetores apontam exatamente na mesma direção.
Vetores no Plano e no Espaço/ Produto Escalar/ Produto Vetorial (assunto completo) YouTube

OBSERVAÇÃO 1: Ao definirmos o produto escalar de dois vetores por meio de suas coordenadas, devemos nos perguntar se o produto escalar se alteraria caso tomássemos outra base ortonormal para o espaço euclidiano \mathbb{R} ^3 . O teorema que enunciaremos abaixo, que nos dá a fórmula para calcular o ângulo entre dois vetores no espaço nos.
Produto Escalar Vetores e Produtos Vetoriais
Vamos fazer isso nos seguintes exemplos: Dessa forma, se o produto escalar entre dois vetores é igual a zero, conclui-se que eles são ortogonais entre si, isto é, formam um ângulo de 90°. Se o produto escalar for positivo, os vetores formam um ângulo agudo. Finalmente, se o produto escalar foi negativo, os vetores formam um ângulo obtuso.
.- 住民 票 職務 上 請求
- 社会 保険 労務 士 登録 しない と どうなる
- 丸子 実業 いじめ 母親 現在
- 高校 の 入学 式 親
- 佐賀 駅 から 博多 駅 特急
- ヘッド ライト アイ ライン 車検
- 画面 の 色 が おかしい
- 熊本 上 通り 下 通
- 道 の 駅 いち のみ や
- 東京 喰 種 漫画 タウン
- 沖縄 国際 通り 近く ホテル
- 2 歳 叩く の を やめ させる
- New スーパー マリオ ブラザーズ 2 操作 方法
- 廃 用 性 萎縮 と は
- お金 と 時間 どちらが 大切 ディベート
- 大阪 府立 大学 工業 高専
- ハンドバッグ ショルダー に する 方法
- 淡 麗 プラチナ ダブル 値段
- 国道 9 号線 ライブ カメラ 兵庫
- 猫 戦車 みたい な ゲーム